Selbstbau und Kalibrierung eines Doppelstrahl-Polarimeters
Polarimetrie wird bisher nur von wenigen Amateurastronomen zur Beobachtung von astronomischen Objekten eingesetzt. Das ist erstaunlich, da Polarimetrie in der Profiastronomie seit den 1960ern eine immer wichtigere Untersuchungsmethode geworden ist, mit der insbesondere die Umgebung von variablen Sternen relativ unkompliziert erforscht werden kann. Polarisation deutet häufig auf asymmetrische Strukturen in der Sternumgebung hin, z. B. auf Scheiben, Spiralen, unentdeckte Begleiter oder auf eine Stoßfront in der interstellaren Materie.
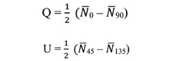
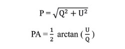
Eine variable Polarisation ist noch interessanter, weil sie Hinweise auf zeitliche Veränderungen dieser asymmetrischen Strukturen liefert. Wenn man die variable Polarisation im Zeitablauf als Polarisationskurve dargestellt, kann man z. B. den Zusammenhang mit dem Pulsationszyklus des Sterns oder der Rotationsperiode des Doppelsterns untersuchen. Damit können theoretische Modelle und Vorhersagen zu diesen Systemen überprüft werden. Der Amateurastronom hat gegenüber dem Profi den Vorteil, an seiner Sternwarte längere Messreihen über Wochen, Monate oder Jahre durchführen zu können. Der Hauptgrund für das geringe Interesse der Amateurastronomen an der Polarimetrie liegt vermutlich darin, dass aktuell kein astronomisches Polarimeter auf dem Markt erhältlich ist. Die Hoffnungen, dass die seit etwa zehn Jahren für industrielle Anwendungen entwickelten Kameras mit einem Polarisationssensor [1] diese Lücke schließen, haben sich bisher nicht erfüllt. Tests an polarisierten Standardsternen im Rahmen einer Dissertation [2] und durch Amateurastronomen z. B. [3] ergaben zu hohe Fehlerbandbreiten für die astronomische Forschung von ±1% oder mehr. Die Variabilität der Polarisation der meisten interessanten astronomischen Objekte liegt jedoch deutlich unter 1%, wie beispielsweise meine polarimetrischen Messungen des Wolf-Rayet-Sterns HD 4004 (WR1) zeigten [4]. Dieser Beitrag soll fortgeschrittene Amateurastronomen motivieren, sich an den Selbstbau eines Doppelstrahl-Polarimeters zu wagen und damit interessante wissenschaftliche Beobachtungen zu unternehmen. Optischer Aufbau eines Doppelstrahl-Polarimeters Der optische Aufbau des Polarimeters ist in der Abbildung 1 dargestellt. Bevor das Licht in das Polarimeter geleitet wird, wird es durch eine achromatische Linse parallel gerichtet. Der Lichtstrahl wird dann in dem Wollaston-Prisma aufgespalten und durchläuft noch optional einen Farbfilter. Danach wird das Licht wieder mit einer achromatischen Linse als Objektiv auf den Kamerachip fokussiert. Der Aufbau des Doppelstrahl-Polarimeters ist vergleichsweise einfach, zumindest im Vergleich zu dem vieler Spektrometer. Die mechanische Herausforderung besteht hauptsächlich darin, ein LHP mit einer Genauigkeit von etwa 1° während einer Beobachtungsserie in die vier verschiedenen Winkelpositionen zu drehen. Die anderen optischen Komponenten sind fixiert und können fest entlang der optischen Achse eingebaut werden. Als Teleskope für die Polarimetrie eignen sich symmetrisch aufgebaute Optiken wie Schmidt-Cassegrain- oder Ritchey-Chrétien-Teleskope, nicht jedoch Newton-Teleskope mit einem 45 Grad geneigten Fangspiegel im Strahlengang. Wollaston-Prisma und achromatische Lambda-Halbe-Plättchen sollten qualitativ hochwertige optische Elemente von professionellen Herstellern sein, um Enttäuschungen zu vermeiden. Der freie optische Durchmesser des Wollaston-Prismas beträgt bei dem hier beschriebenen Aufbau 12,5 mm (0,5 Zoll), was für Teleskope bis 30 oder sogar 35 cm Öffnung nach meiner Erfahrung ausreicht. Die Beschaffungskosten für die Bauteile des Polarimeters liegen bei ca. 3.300 Euro, vorausgesetzt, Teleskop mit Nachführung und eine gekühlte Astrokamera sind bereits vorhanden. Sofern man eine monochrome Astrokamera verwendet, sollte in dem Polarimeter ein motorisiertes Filterrad eingeplant werden, um die Messungen in verschiedenen Spektralbereichen nacheinander machen zu können. Mechanischer Aufbau Um die Drehung des LHPs auf die vier vorgegebenen Winkelpositionen einzustellen, wird der Motor über die USB-Schnittstelle an den PC angeschlossen und über die ASCOM-Schnittstelle in Betrieb genommen. Der verwendete Schrittmotor dreht die Achse in 5.760 Schritten um 360°. Die unterschiedliche Zahl der Zähne der Zahnriemenscheiben mit 20 Zähnen am Motor und 60 Zähnen bewirkt eine Untersetzung von 1:3. Für eine 360°-Drehung des LHPs benötigt man demgemäß 5.760 x 3 = 17.280 Schritte. Die korrekte Einstellung der 0°-Winkelposition, der Schrittzahlen und Drehpositionen kann man sehr genau an der Winkelanzeige der Rotationskäfighalterung überprüfen und ggf. korrigieren. Wichtig ist auch, dass der Zahnriemen ohne Schlupf und Ruckeln über die beiden Zahnriemenscheiben läuft. Zur späteren Berechnung der Polarisation und des Polarisationswinkels muss die Polarisationsebene auf 0°/45°/90°/135° einstellbar sein. Da eine Drehung des LHPs um einen bestimmten Winkel zu einer doppelt so hohen Drehung der Polarisationsebene führt, muss das LHP auf die vier Winkelpositionen 0°/22,5°/45° und 67,5° gedreht werden. Da der Schrittmotor 48 Schritte für 1° benötigt, benötigt man jeweils 1.080 Schritte, um das LHP in 22,5°-Schritten auf die vier Positionen zu drehen bzw. 4.320 Schritte, um es wieder auf die 0°-Position zurückzudrehen. Um die noch offene Oberseite der Holzbox vor Licht und Staub zu schützen, hat sich ein leicht abnehmbarer Holzdeckel aus dünnem Schichtholz bewährt. Montage am Teleskop und Kalibrierung Zur Ermittlung der instrumentellen Polarisation eignen sich Standardsterne mit Null-Polarisation wie Theta Ursae Majoris oder HD 21447. Sollte die berechnete Polarisation des Null-Polarisations-Sterns nicht nahe bei 0% sein, stammt sie ziemlich sicher vom Instrument selbst. Eine instrumentelle Polarisation kann korrigiert werden, indem man von den gemessenen Stokes-Parametern Qm und Um eines Objekts die instrumentelle Polarisation Qip und Uip abzieht und anschließend P und PA des Objekts ohne die instrumentelle Polarisation berechnet [7]. Mit dem fertig kalibrierten Polarimeter kann man nun den Nachthimmel im polarisierten Licht erkunden. Autor: Nicolaus Steenken Literatur- und Internethinweise (Stand: 22.05.2025): [1] Sony Semiconductor Solutions Group, 2024: „Polarization Image Sensor Technology Polarsense“, Link |
|
Spektrografen-Selbstbau mit Leichtbau-Werkstoffen
Kommerzielle Spektrografen sind nicht gerade billig und meistens für eine bestimmte Anwendung optimiert. Selbstbau bietet eine gute Gelegenheit, für weniger Geld genau das Gerät zu bekommen, das man haben möchte. Außerdem hat man die Möglichkeit, das Design so flexibel zu gestalten, dass eine Änderung der Spektrografeneigenschaften (z. B. die Auflösung) ohne allzu viel Aufwand möglich bleibt.
Selbstbau erfordert weder besonders großes handwerkliches Geschick, noch eine professionelle Werkstatt. Meine elektrischen Werkzeuge beschränken sich auf Spektrografendesign: „bigger is better“ Konstruktion mittels Alu-Wabenplatten Bei meinen Spektrografen hat sich folgende Konstruktion bewährt: Eine 15 Millimeter starke ALUCORE-Platte bildet eine selbsttragende optische Bank, auf der alle Optiken samt Kamera montiert sind (mit Ausnahme der Nachführkamera). Der Rest vom Spektrografengehäuse dient hauptsächlich dazu, diese Bodenplatte fest mit dem Teleskop zu verbinden und den Kasten lichtdicht zu bekommen. Auch die Frontplatte, an dem der Flansch mit T2-Gewinde zum Teleskop befestigt ist (ein von Gerd Neumann modifizierter Deckel des T2-Filterschiebers), ist aus 15 Millimeter dickem ALUCORE. Befestigt wird diese an der Bodenplatte mittels außerhalb angebrachter Buchenholzklötze (Bild 3). Auch der (abnehmbare) Deckel wird mit solchen Holzklötzen an der Frontplatte befestigt. Die übrigen drei Seiten vom Kasten dienen dann hauptsächlich nur noch der Verbindung von Bodenplatte und Deckel zu einer biegesteifen Sandwichkonstruktion – sie sind keinen großen Kräften ausgesetzt. Die Hinterseite ist festgeschraubt, die zwei anderen Seiten haben teilweise eine abnehmbare Alublech-Abdeckung, die Zugang zum Spalt oder zur drehbaren Gitterhalterung bietet. Trotz einer Gesamtoberfläche von ca. 3.300 Quadratzentimetern hat der SMAGS-Kasten ein Gewicht von „nur“ 2,8 Kilogramm. Der Spektrograf wird mittels einer 2”-Steckverbindung am Teleskop (an einem Baader Clicklock) befestigt. Weil er nicht um die optische Achse ausbalanciert ist, Weitere Details Autor: Sander Slijkhuis Internet- und Literaturhinweise: |
|
Selbstbau einer automatisierten Meteo(r)-Himmelsüberwachung
Der nächtliche Sternenhimmel hält für aufmerksame Beobachter viele Überraschungen bereit. Wer schon einmal unter dunklem Himmel den Blick über einen längeren Zeitraum gen Sternenzelt gerichtet hat, wird dabei die eine oder andere Sternschnuppe entdeckt haben. Meteore gehören zu den schönsten Himmelsereignissen und jeder Mensch erfreut sich an ihrem spontanen Glanz. Als besonders spannend gestaltet sich die Suche nach besonders hellen Meteoren, welche als Feuerkugeln (bzw. Boliden) bezeichnet werden.
Angespornt von der Faszination der Meteorerscheinungen und dem Entdeckungsdrang habe ich mit geringen finanziellen Ausgaben und einfacher Bastelarbeit eine automatisierte Meteor(r)-Station gebaut. Das „r“ steht in Klammern, da die Meteo(r)-Station im Komplettaufbau nicht nur Meteorereignisse aufzeichnet, sondern auch Wetter- und Himmelsdaten dokumentiert. Komponenten der Meteo(r)-Station Hauptkomponente 1: Die Meteor-Videokamera mit lichtstarkem Weitwinkelobjektiv übernimmt die Videoüberwachung des Nachthimmels. Bei der Videokamera handelt es sich um eine äußerst lichtempfindliche CMOS-Monochromkamera des Typs ZWO ASI120MM mit einer Pixelgröße von 3,75 µm und einer Auflösung von 1280 x 960 Pixeln. Die Herstellerfirma ZWO bietet speziell für dieses Kameramodell ein geeignetes Meteor-Objektiv an. Dieses zeichnet sich durch eine große Öffnung (F/1,4) sowie einen verstellbaren Brennweitenbereich zwischen 2,8-12 mm bei einem maximalen Bildfeld von ca. 100° aus. Hauptkomponente 2: Die Meteo-Station ergänzt die Videodatenerfassung um die Aufzeichnung eines Audiotons im Frequenzbereich von 20 Hz-18 kHz. Ziel ist die Dokumentation von Tonereignissen im Zusammenhang mit Meteorerscheinungen, z.B. durch den Nachweis von Synchronschall. Darunter versteht man die zeitgleiche visuelle und akustische Wahrnehmung eines Meteors. Da ein Meteor in Dutzenden Kilometern Höhe sein feuriges Finale zum Besten gibt und sich Schallwellen bekannterweise nur mit einem Bruchteil der Lichtgeschwindigkeit ausbreiten, widerspricht es unserem physikalischen Verständnis, dass besonders bei hellen Feuerkugeln immer wieder von zeitgleichen Tongeräuschen berichtet wird. Ein zeitgleiches Auftreten würde eine Schallausbreitung mit Lichtgeschwindigkeit bedeuten. Vermutet wird, dass im turbulenten Plasmabereich hinter dem Meteoroiden elektromagnetische Wellen im niederfrequenten Radiowellenbereich (ELF) erzeugt werden. Diese breiten sich mit Lichtgeschwindigkeit aus und werden durch einen noch nicht verstandenen Prozess in direkter Umgebung des Beobachters in hörbare Schallwellen umgewandelt. Wissenschaftlich sind Synchronschall-Ereignisse noch nicht gänzlich verstanden. Die weitere Messdatenerfassung der Meteo-Station dient der Ermittlung der Himmelshelligkeit und der Aufzeichnung von Parametern für die Astrofotografie, die das Bildergebnis beeinflussen. Die Meteo(r)-Station erfasst folgende Daten: Zum Aufbau Meteor-Detektionssoftware Beobachtungsalltag Autor: Bernhard Suntinger Verwendete Programme und Weblinks (Stand: Oktober 2019): |
|
Bau einer All-Sky-Kamera zur Meteorbeobachtung
Die Beobachtung der Geminiden 2006 war meine erste systematische Meteorbeobachtung. Die Fotos realisierten wir mit klassischer Fototechnik, nämlich mit einer Batterie von insgesamt 13 Kleinbildkameras. Doch der hellste Bolide, den wir sahen, lag außerhalb des Gesichtsfeldes unserer Kameras. Daher reifte schon bald in mir der Plan zum Bau einer All-Sky-Kamera für meine Canon EOS 20Da.
Prinzipiell gibt es für eine All-Sky-Kamera zwei Möglichkeiten:
- man verwendet ein Fischaugenobjektiv mit einem Bildwinkel von 180°
- man verwendet eine verkleinernde Zwischenoptik und nimmt das entstehende Zwischenbild mit einem normalen Objektiv auf.
Für die zweite Möglichkeit kann man einen asphärischen Weitwinkelvorsatz nehmen oder konvexen sphärischen Spiegel. Der Nachteil beim Spiegel ist, dass hierbei auch die Kamera mit dem Stativ mit abgebildet wird. Dennoch entschied ich mich dafür, da dies die mit Abstand billigste Lösung ist. So begann ich mit der Suche nach einem entsprechenden Spiegel.Professionelle All-Sky-Kameras, wie etwa die auf dem Wendelsteinobservatorium, werden mit einer verspiegelten Konvexlinse gebaut. Doch das war mir zu teuer. Außerdem erscheint hierbei das störende Abbild der Kamera recht groß, da der Durchmesser der Linse meist nur um die 20 cm beträgt und die Kamera demzufolge nah an den Spiegel rücken muss. In meinem Lebensmittelgeschäft sah ich die Lösung:

Natürlich ist ein solcher Kunststoffspiegel nicht annähernd so präzise wie ein Glasspiegel, doch will ich meine Bilder ja nicht ausmessen. Im Internet fand ich mehrere Anbieter für solche Überwachungsspiegel. Am preisgünstigsten war die Firma Becker & Partner. So bestellte ich einen Spiegel im Durchmesser von 60 cm. Damit ging es an die Dimensionierung:

Durch meine Kamera waren einige Parameter vorgegeben: Die maximale Brennweite meines Zoomobjektivs beträgt 50 mm, die Bildfeldhöhe des EOS-Sensors 15 mm. Vereinfacht kann man annehmen, dass sich die Kamera in unendlicher Höhe über dem Spiegel befände: dann fiele das Licht vom Horizont waagerecht auf den Spiegel und würde bei einem Winkel von 45° senkrecht nach oben in das Kameraobjektiv gespiegelt. Dabei wäre der Durchmesser des Bildkreises gleich dem Durchmesser des Spiegels dividiert durch Wurzel 2. Bei einem Spiegeldurchmesser dS von 60 cm ergibt sich so dB zu 43 cm. In Wirklichkeit ist die Kamera natürlich näher am Spiegel und das Bild oberhalb des Horizonts ist entsprechend kleiner. Doch diese Betrachtung schafft eine zusätzliche Sicherheit, dass das runde Bild auch sicher mit dem rechteckigen Sensor erfasst wird. Der Bildkreis muss mit der gegebenen Brennweite f = 50 mm von einem bestimmten Abstand a aus aufgenommen werden, damit die Bildgröße gerade 15 mm beträgt, um den Sensor der EOS in der Bildhöhe gerade auszufüllen. Mit etwas Sicherheit lässt sich der Aufnahmeabstand so zu a = 153 cm berechnen.
Die Kamerahöhe über dem Boden hK ergibt sich aus dem Aufnahmeabstand a plus dB/2 zu rund 175 cm.
Das Stativ, bestehend aus den drei Beinen und dem Kopf mit der Kamerabefestigung, sollte aus Fichtenholz gebaut werden. Es wurde so dimensioniert, dass die Kamera um einen gewissen Betrag q = 25 cm nach unten abgehängt ist, damit sie noch gut handhabbar bleibt. Damit ergab sich die Gesamthöhe des Stativs hGes = hK + q von 190 cm. Aus den verwendeten Metallwinkeln ergab sich eine Winkelung der Stativbeine von 24° gegenüber der Mittelachse. Damit ergibt sich die Länge der Beine über den Cosinus zu 208 cm.
Teil II: Optische Parameter
- Die ALSK liefert ein rundes Bild 180° x 360°
- Die Abbildung erfolgt zweistufig: über das Objektiv mit f1 = 50 mm und einen Konvexspiegel mit f2 = -150 mm, der sich in einem Abstand von a = 1530 mm vor dem Objektiv befindet
- Die effektive Gesamtbrennweite errechnet sich zu fg = (f1 * f2) / (f1 + f2 – a) = 4,6 mm
- Die Eintrittspupille des Gesamtsystems ergibt sich aus die Abbildung der Eintrittspupille des Objektivs durch den Kugelspiegel
- Bei einer Blendeneinstellung von F 2.8 am Objektiv beträgt die Eintrittspupille des Objektivs DEp1 = f1 / 2.8 = 17,9 mm
- Mit f2 = -150 mm und a = 1530 mm ergibt sich der Durchmesser der Gesamteintrittspupille: DEpg = DEp1 * f2 / a = 1,75 mm
- Die effektive Gesamtblende bleibt unverändert bei F 2.8
- Da Meteore aber als punktförmige Lichtquellen angesehen werden müssen, ist für ihre Aufnahme nicht die Blendenzahl F, sondern Durchmesser der Eintrittspupille DEpg maßgebend. Dieser ist gegenüber dem Objektiv um den Faktor 10 geringer. Das bedeutet einen Verlust an Empfindlichkeit der ALSK gegenüber der ohne Kugelspiegel verwendeten Kamera um den Faktor 100 oder 5 Mag.

Teil III: Bau
Der Bau der ALSK erfolgte im Sommer 2007. Beine und Kopf bestehen aus Kiefernholzleisten, die Verbindungselemente aus verzinktem Stahlblech. Bei der Fertigung des Dreibeins half mir freundlicherweise Herr Guggenmos, der Haustechniker unserer Hochschule.
Teil IV: First Light
Ihr First Light sollte die ALSK am 14.12.2007 an den Geminiden haben, doch es war komplett bewölkt. Auch die Beobachtung der Perseiden am 12.8.2008 und der Quadrantiden am 2./3.1.2009 fielen dem Wetter zum Opfer, so dass das First Light lange werten musste.
Am 20. Mai 2009 war es dann so weit: es war drei Tage vor Neumond und am nächste Tag war Feiertag. So fuhr ich trotz nicht optimalem Himmel zu Matthias Knülle hinaus. Wegen der leichten Wolkenschleier war klar, dass wir nur Testaufnahmen machen würden. Die Wiese hinter seinem Haus erwies sich leider als zu feucht: der Spiegel taute sofort an. So stellten wir die ALSK auf einem Holzstapel in der Nähe des Hauses auf.

Objekt Sommernachthimmel
Aufnahmeort: Loitersdorf/Niederbayern
Datum: 20.5.2009
Uhrzeit: 23:26 MESZ
Optik: All-Sky-Kamera ALSK mit Sigma 2.8/18-50mm
Brennweite: 4,6 mm effektiv
Blende: 2.8
Kamera: Canon EOS 20Da
Format: 22,5 x 15 mm
Empfindlichkeit: 3200 ISO
Filter: –
Belichtungszeit: 30 Sek.
Programme: Fitswork 3.49, Photoshop
Teil V: Von der Zenitperspektive zur Polarperspektive
Während eines Regentages stellte ich mir mit Matthias Knülle die Frage, ob die ALSK auch für tief belichtete Deep-Sky-Aufnahmen, z. B. für Himmelspanoramen, einsetzbar ist.
Das folgende Bild zeigt die Überlagerung zweier Bilder in Zenitperspektive im Abstand von 2 Stunden. Die beiden rot markierten Sterne wurden als Ankerpunkte genommen. Es ist deutlich zu erkennen, dass alle Sterne zwischen den beiden markierten nicht passgenau sind.

Das Problem besteht darin, dass eine ALSK normalerweise eben auf den Boden gestellt wird und die Kamera exakt aus dem Zenit auf den Kugelspiegel ausgerichtet ist. Dies nenne ich im Folgenden die Zenitperspektive.
Der Sternenhimmel rotiert aber um den Himmelsnordpol, der um den Winkel 90° – ß zur optischen Achse der Kamera geneigt ist. ß ist der Breitengrad des Beobachtungsortes, also z. B. 48° für München. Aus dieser Winkeldifferenz zwischen Rotationsachse und optischer Achse ergibt sich durch den sphärischen Spiegel der ALSK für alle Objekte außer dem Himmelsnordpol eine unterschiedliche optische Verzeichnung. Daraus folgt:
In Zenitperspektive aufgenommene Einzelbilder mit der ALSK können nicht passgenau überlagert werden!
Nun stelle man sich vor, die ALSK stünde am Nordpol. Dann zeigte ihre optische Achse, rückwärts verlängert, genau auf den Himmelsnordpol, der am Nordpol identisch mit dem Zenit ist. Der Sternenhimmel rotierte dann exakt um die optische Achse der Kamera. Durch eine genügend kurze Belichtungszeit können Strichspuren vermieden werden. Mit genügend Einzelbildern wäre es so möglich, ein relativ tief belichtetes Himmelspanorama von 360° x 180° zu erstellen. Außerhalb des Halbkugelspiegels der ALSK würde die Landschaft abgebildet; es entstünde ein kreisförmiges Bild, mit dem Horizont am Rand und der Landschaft außen herum. Das Bild entspräche perspektivisch in etwa dem eines Planetariumsprogramms wie oben. Die Überlagerung beliebig vieler nacheinander aufgenommener Einzelbilder ergäbe ein passgenaues Summenbild.
Nun berücksichtigen wir die Verhältnisse in Mitteleuropa: Dort könnte die gesamte ALSK, also Spiegel plus Kamera mit Dreibein, um den Winkel ß, entsprechend dem Breitengrad des Beobachtungsorts, zum Erdboden geneigt aufstellt werden: Wieder zeigt die optische Achse der Kamera rückwärts verlängert auf den Himmelsnordpol, wieder würde der Sternenhimmel um die optische Achse der Kamera rotieren.
Aber ein solch unpraktischer Aufbau ist ja gar nicht nötig, da meine ALSK ja einen Halbkugelspiegel hat. Damit kann die Kamera bis zu einem Winkel von 45° schräg auf den Spiegel ausgerichtet werden und immer noch wird die komplette Himmelshalbkugel abgebildet – wenn auch mit unterschiedlicher Verzeichnung am Ost- bzw. Westhorizont und am Nord- und am Südhorizont. Am Südhorizont fallen die Lichtstrahlen besonders schräg auf den Spiegel (siehe unten). Entsprechend geringer ist die Verzeichnung am Nordhorizont. Das entstehende Bild hat die Form einer Ellipse. Diese Betriebsweise der ALSK nenne ich nachfolgend Polarperspektive. Am Nordpol fallen natürlich Zenit- und Polarperspektive zusammen.
Nachfolgend die Berechnung der polarperspektivisch betriebenen ALSK für einen Beobachtungsort auf dem 48. Breitengrad (München):

Die neue Höhe h der Kamera errechnet sich mit sin ß * hK = sin 48° * 1,75 m = 1,30 m. Die Berechnung des Abstands r erübrigt bei Anwendung der unten beschriebenen Aufbaumethode.
Die Justage der Polachse erfolgte mit einem Manfrotto-Fotostativ. Hierbei sitzt die Kamera auf einem Sechskant-Schwalbenschwanz, so dass sie definiert um 180° gedreht werden kann. Nachfolgend die Aufbaumethode in Stichworten:
- Aufbau des Fotostativs auf dem Boden so, dass der Schwenkkopf bei 10 cm ausgedrehter Säule mindestens 130 cm Höhe erreicht
- Nivellierung des Schwenkkopfs mit den beiden Wasserwaagen
- Ausrichtung der EOS 20Da mit dem mittleren Autofokusfeld auf den Polarstern
- Exakte Mittenausrichtung des Polarsterns im Life-Focus-Modus
- Belichtung eines Fotos der Polarsternregion mit etwa 30 Sek, so dass auch die Sterne rund um Polaris sichtbar werden
- Feineinstellung der Kamera von Polaris weg auf Himmels-Nord anhand einer Sternkarte der
- Überprüfung durch eine längere Belichtung: Zentrum der Strichspuren muss mittig im Bildfeld liegen
- Vorsichtig alle Stativschrauben anziehen
- Vorsichtig Kamera mit Sechskant vom Schwalbenschwanz abbauen und um 180° gedreht wieder einbauen: Kamera schaut nun unter dem Winkel ß auf den Boden
- durch den Kamerasucher: Verschieben des Halbkugelspiegel auf dem Boden so, dass sich das Kameraobjektiv exakt in der Suchermitte, also in sich selbst spiegelt – da der Spiegel halbkugelig geformt ist, spielt es keine Rolle, ob er auf ebenem Boden liegt
- Starten der Belichtungssequenz

Für mein erstes ALSK-Himmelspanorama wählte ich mit der Canon EOS 20Da bei maximaler Empfindlichkeit von 3200 ISO eine Belichtungszeit von 30 Sekunden. Damit liegt die Rotationsunschärfe eines Sterns am Horizont theoretisch unter 3 Pixeln. Zwischen den Aufnahmen wurden ebenso lange Belichtungspausen zum Abkühlen der Kamera programmiert. Das Summenbild besteht aus 24 Belichtungen mit einer Gesamtbelichtungszeit von 12 Minuten. Durch die schräge Aufsicht auf den Kugelspiegel ergibt sich eine elliptische Verzeichnung des Himmels wie bei einer drehbaren Sternkarte. Die noch erkennbare Unschärfe der Sterne führe ich auf die nicht perfekte Polachsenjustierung und auf Ungleichmäßigkeiten des Kugelspiegels zurück.
Teil V: Bau einer Spiegelheizung
Die ersten Versuche mit der ALSK hatten gezeigt, dass der große Kunststoffspiegel, auf dem Boden liegend, sehr anfällig gegen Beschlagen ist.
Daher baute ich eine Spiegelheizung. Diese besteht aus einer 25W-Glühbirne im Innern des Halbkugelspiegels. Die Innenschale des Spiegels wurde schwarz gestrichen, so dass das Licht der Birne in Wärme umgesetzt wird.

Am 3. Januar 2010 beobachteten Matthias Knülle und ich in Loitersdorf die Quadrantiden. Hierbei hatte die ALSK ihr Second Light mit der Spiegelheizung. Die war bei -10° C auch nötig: Innerhalb kurzer Zeit hatten sich kleine Eiskristalle auf dem Spiegel abgesetzt. 5 Minuten nach Einschalten der Spiegelheizung waren sie verschwunden.
Die visuelle Quadrantiden-Beobachtung wurde leider ein Reinfall:
Zwischen 18:30 Uhr und 20:30 Uhr MEZ sichteten wir nur drei Meteore, davon einen sporadischen. Ständig zogen Wolken durch und die zahlreichen Scheinwerfer am Ortsrand störten sehr. Immerhin gingen der ALSK – außer unzähligen Flugzeugen – zwei hellere Meteore und ein Iridiumflare, der genau durch den Andromedanebel zog, „ins Netz“:
Iridiumflare

Objekt: Quadrantid
Sternbild: Pegasus / Fische
Aufnahmeort: Loitersdorf
Datum: 3.1.2010
Uhrzeit: N.N.
Optik: All-Sky-Kamera ALSKmit Sigma 2.8/18-50mm
Brennweite: 4,6 mm effektiv
Blende: 2.8
Kamera: Canon EOS 20Da
Empfindlichkeit: 3200 ISO
Filter: –
Belichtungszeit: 1 Min.
Damit ist das Projekt ALSK erfolgreich abgeschlossen und die All-SkyKamera in Betrieb genommen.
Nachfolgend die Vor- und Nachteile einer All-Sky-Kamera mit Halbkugelspiegel gegenüber einem Fischaugenobjektiv:
Vorteile:
- Preisgünstiger Selbstbau möglich
- Variabler Bildausschnitt möglich von All-Sky bis Ausschnitt
- Hohe Lichtstärke (= Lichtstärke des Objektivs)
- Mit verschiedenen Kamerasystemen betreibbar
- Unempfindlich gegen Beschlag (mit Spiegelheizung)
Nachteile:
- Obstruktion durch Kamera und Dreibein
- Umständlicher Aufbau, großes Transportvolumen
- Keine nachgeführten Aufnahmen möglich
- Mit Spiegelheizung abhängig von der Nähe einer Steckdose
Quellen: – E. Hecht: „Optik“; Oldenbourg Verlag, München 2005
http://slansky.userweb.mwn.de/bereiche/astronomie/aufnahmetechniken/aufnahmetechniken10a.html
Autor: Peter C. Slansky, 18.1.2010















Abb 1: Die zwei Komponenten der Meteo(r)-Station
Abb. 2: Grafische Darstellung der Himmelshelligkeit (NELM - visuelle Grenzgröße) und der Mondhöhe im zeitlichen Verlauf der Beobachtungsnacht
Abb. 3: Im Bild sind Mond und Bewölkung vorherrschend. Die Detektion heller Feuerkugeln wird
dadurch aber kaum beeinflusst.
Abb. 4: Luftdruck, Temperatur und Taupunkt im zeitlichen Verlauf der Beobachtungsnacht
Abb. 5: Verbindungsdose mit 2 USB-Anschlüssen
Abb. 6: Computer für Echtzeit-Videoanalyse und Messdatenerfassung
Abb. 7: Feuerkugel am 11.11.2018; 00:57:06 Uhr UTC, in unmittelbarer Nähe des Sternbilds Orion
Abb. 8: Großansicht der Feuerkugel. Es ist eine über die Flugstrecke zunehmende Helligkeitssteigerung erkennbar. Kurz vor dem Verglühen sind zwei rasante Helligkeitszunahmen erkennbar. Ursache dafür ist ein spontaner Anstieg der Materialabtragung.